Het is opvallend dat mensen vaak een sterke mening hebben over waar je de beste hamburger kunt eten. Of de beste Roti. Je krijgt dan een kleurrijk verhaal over die ene plek die torenhoge heart-attack-burgers serveert, of juist paarse vegan-burgers overladen met verse ingrediënten. Meestal gepaard met een goede associatie: “Hier ga ik altijd heen na het stappen” of “de eigenaar is een ontzettend leuke man”. Uiteraard is het een erg persoonlijke en beperkte afweging van wat de beste burger is. Daarom hebben wij met een aantal collega’s van Cmotions de vraag gesteld: is er een datagedreven methode om te bepalen waar je de beste hamburger kan eten?
Om die vraag te beantwoorden hebben we (1) een bron nodig van beoordelingen, (2) moeten we destilleren welke beoordelingen over het gewenste product gaan en moeten we deze (3) op een gedegen manier aggregeren naar een finaal oordeel voor het restaurant. Met als randvoorwaarde: een beperkte afstand die we bereid zijn om te reizen voor een feestje in onze mond.
1. Bron van beoordelingen
In plaats van het aan mensen in onze omgeving te vragen, gebruiken we de miljoenen reviews die klanten op de website van een bekende bezorgservice plaatsen. Vanwege onzekere openingstijden tijdens de pandemie is het voor restaurants erg interessant geworden om zich aan te sluiten bij een bezorgservice. Dat zien we terug in de groei van het aantal restaurants dat bezorgt via websites van maaltijdbezorgers. Dat maakt dit een rijke bron van beoordelingen, al is niet elk restaurant aangesloten. Michelin ster restaurants en andere ‘haute cuisine’ vallen waarschijnlijk buiten de vergelijking (maar die serveren ook zelden een burger zoals wij ons een burger voorstellen).
2. Beoordeling van het gewenste product
Klanten kunnen een review achterlaten door een aantal sterren te geven (1-5) en optioneel hun oordeel schriftelijk toelichten. De reviews geven een aardig beeld van de kwaliteit van het eten. Wij zijn echter benieuwd naar de kwaliteit van een specifiek product. Daarom hebben we per review gekeken of het betreffende product genoemd wordt, en die beoordelingen apart opgeslagen. De redenatie is dat wanneer iemand een product benoemt, we met een hogere mate van zekerheid kunnen stellen dat de review ook over de hamburger is gegaan, en niet over een ander gerecht dat door hetzelfde restaurant wordt aangeboden. Ter illustratie, van de 7,2 miljoen reviews bevat maar 35% een toelichting. De overige 65% van de reviews bestaan alleen uit sterren zonder geschreven review. Wanneer we specifiek zoeken naar reviews die het woord ‘burger’ bevatten, houden we ongeveer 72.000 reviews over, ongeveer 1% van het totaal dus.
3. De formule voor het finale oordeel
Met een gewogen combinatie van algemene en gerichte (i.e., men heeft de hamburger in de review benoemd) beoordelingen komen we een eind met een overall beste burger oordeel. Na de eerste iteratie zagen we dat dit toch nog geen bevredigend beeld gaf. Is de burger van een restaurant met een gemiddelde reviewrating van 4,6 sterren op basis van 100 gerichte reviews beter dan de burger van een restaurant met gemiddeld 4,5 sterren op basis van 700 gerichte reviews? Het aandeel van reviews per restaurant dat specifiek over hamburgers gaat geeft een indicatie dat de hamburger een belangrijk of populair gerecht is voor dat restaurant. Als we deze elementen combineren, komen we op de volgende formule uit:

Waar de w staat voor het gewicht. Dat wil zeggen, hoe veel een variabele meetelt in de uiteindelijke score. De variabelen zijn (na deling) geschaald voor ze zijn gewogen en gesommeerd. Eigenlijk kun je dus zeggen dat de burger metric weergeeft hoeveel standaarddeviaties het restaurant boven of onder het gemiddelde zit. Waarbij het gemiddelde dan een gewogen combinatie is van het gemiddeld aantal sterren, het percentage gerichte reviews en het aantal gerichte reviews. De gewichten zijn als volgt gekozen:

De ratings van reviews waarbij een burger concreet wordt benoemd wegen het zwaarst (80%) mee in het eindoordeel. Het percentage reviews waarbij de hamburger wordt benoemd weegt 15% mee en het totaal aantal gerichte reviews weegt 5% mee. Ook zijn er randvoorwaarden voordat een restaurant wordt meegenomen in de vergelijking. Het moet ten minste 100 reviews hebben, waarvan in ten minste 30 reviews de burger wordt genoemd. Wanneer we deze criteria toepassen blijven in onze dataset bijna 50.000 reviews bij 611 verschillende burgerrestaurants over. Let op, die nieuwe burgerbar bij jou om de hoek waar iedereen het over heeft wordt dus niet meegenomen in dit model.
Het resultaat
We hebben elk restaurant gesorteerd op de burger metric en zo een top 10 van Nederland samengesteld. Hungry Jake uit Hilversum scoort het best! In figuur 1 zie je welke restaurants nog meer een bestelling waard zijn en op basis van welke gegevens de burger metric is berekend.

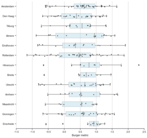
Benieuwd in welke stad je de beste burgers bestelt? Zie hieronder figuur 2 hoe de score van burger restaurants verspreid is per stad. Rotterdam kent de grootste spreiding. In Enschede zit je vrijwel altijd bovengemiddeld goed.

Eet smakelijk!



